Cos'è la struttura dei dati:
Una struttura dati è un archivio utilizzato per archiviare e organizzare i dati. È un modo di organizzare i dati su un computer in modo che sia possibile accedervi e aggiornarli in modo efficiente.
Una struttura dati non viene utilizzata solo per organizzare i dati. Viene utilizzato anche per l'elaborazione, il recupero e l'archiviazione dei dati. Diversi tipi di strutture dati di base e avanzate vengono utilizzati in quasi tutti i programmi o sistemi software sviluppati. Quindi dobbiamo avere una buona conoscenza delle strutture dati.
Strutture dati sono parte integrante dei computer utilizzati per la disposizione dei dati in memoria. Sono essenziali e responsabili dell’organizzazione, elaborazione, accesso e archiviazione dei dati in modo efficiente. Ma questo non è tutto. Vari tipi di strutture dati hanno le loro caratteristiche, caratteristiche, applicazioni, vantaggi e svantaggi. Quindi come si identifica una struttura dati adatta per un compito particolare? Cosa si intende con il termine “Struttura dei dati”? Quanti tipi di strutture dati esistono e a cosa servono?

Cos'è la struttura dei dati: tipi, classificazioni e applicazioni
Ti abbiamo coperto. Abbiamo creato un elenco completo di tutto ciò che riguarda la struttura dei dati, quali sono i tipi di strutture dei dati, la classificazione delle strutture dei dati, le applicazioni di ciascuna struttura dei dati e così via. In questo articolo discuteremo ogni aspetto di ciascuna struttura dati per aiutarti a scegliere quella migliore in pochi minuti.
Sommario
- Cos'è la struttura dei dati?
- In che modo la struttura dei dati varia dal tipo di dati?
- Classificazione della struttura dei dati
- Array
- Lista collegata
- Pila
- Coda
- Albero
- Grafico
- Conclusione
Come la struttura dei dati varia in base al tipo di dati:
Abbiamo già imparato a conoscere la struttura dei dati. Molte volte ciò che accade è che le persone si confondono tra il tipo di dati e la struttura dei dati. Vediamo quindi alcune differenze tra il tipo di dati e la struttura dei dati per renderlo chiaro.
| Tipo di dati | Struttura dati |
|---|---|
| Il tipo di dati è la forma di una variabile a cui è possibile assegnare un valore. Definisce che la variabile particolare assegnerà solo i valori del tipo di dati specificato. | La struttura dei dati è una raccolta di diversi tipi di dati. Tutti i dati possono essere rappresentati utilizzando un oggetto e possono essere utilizzati in tutto il programma. |
| Può contenere valore ma non dati. Pertanto, è senza dati. | Può contenere più tipi di dati all'interno di un singolo oggetto. |
| L'implementazione di un tipo di dati è nota come implementazione astratta. rivestimento delle corde Java | L'implementazione della struttura dati è nota come implementazione concreta. |
| Non esiste complessità temporale nel caso dei tipi di dati. | Negli oggetti della struttura dati, la complessità temporale gioca un ruolo importante. |
| Nel caso dei tipi di dati, il valore dei dati non viene archiviato perché rappresenta solo il tipo di dati che può essere archiviato. | Mentre nel caso delle strutture dati, i dati e il loro valore acquisiscono spazio nella memoria principale del computer. Inoltre, una struttura dati può contenere diversi tipi e tipi di dati all'interno di un singolo oggetto. |
| Esempi di tipi di dati sono int, float, double, ecc. | Esempi di strutture dati sono stack, coda, albero, ecc. |
Classificazione della struttura dei dati:
La struttura dei dati ha molti usi diversi nella nostra vita quotidiana. Esistono molte strutture dati diverse che vengono utilizzate per risolvere diversi problemi matematici e logici. Utilizzando la struttura dei dati, è possibile organizzare ed elaborare una quantità molto grande di dati in un periodo relativamente breve. Diamo un'occhiata alle diverse strutture dati utilizzate in diverse situazioni.

Classificazione della struttura dei dati
- Struttura dati lineare: La struttura dati in cui gli elementi dati sono disposti in sequenza o linearmente, dove ciascun elemento è collegato agli elementi adiacenti precedenti e successivi, è chiamata struttura dati lineare.
Esempi di strutture dati lineari sono array, stack, coda, elenco collegato, ecc.- Struttura dei dati statici: La struttura dei dati statici ha una dimensione di memoria fissa. È più semplice accedere agli elementi in una struttura dati statica.
Un esempio di questa struttura dati è un array. - Struttura dati dinamica: Nella struttura dati dinamica, la dimensione non è fissa. Può essere aggiornato in modo casuale durante il runtime, il che può essere considerato efficiente per quanto riguarda la complessità della memoria (spazio) del codice.
Esempi di questa struttura dati sono coda, stack, ecc.
- Struttura dei dati statici: La struttura dei dati statici ha una dimensione di memoria fissa. È più semplice accedere agli elementi in una struttura dati statica.
- Struttura dei dati non lineare: Le strutture dati in cui gli elementi dati non sono posizionati in sequenza o linearmente sono chiamate strutture dati non lineari. In una struttura dati non lineare, non possiamo attraversare tutti gli elementi in una sola corsa.
Esempi di strutture dati non lineari sono alberi e grafici.
Necessità della struttura dei dati:
La struttura dei dati e la sintesi dell'algoritmo sono relative l'una all'altra. La presentazione dei dati deve essere di facile comprensione in modo che lo sviluppatore, così come l'utente, possa implementare in modo efficiente l'operazione.
Le strutture dati forniscono un modo semplice per organizzare, recuperare, gestire e archiviare i dati.
Ecco un elenco delle esigenze di dati.
tutorial di java
- La modifica della struttura dei dati è semplice.
- Richiede meno tempo.
- Risparmia spazio nella memoria di archiviazione.
- La rappresentazione dei dati è semplice.
- Facile accesso al grande database.
Array:
Un array è una struttura dati lineare ed è una raccolta di elementi archiviati in posizioni di memoria contigue. L'idea è quella di archiviare più articoli dello stesso tipo insieme in un unico posto. Permette l’elaborazione di una grande quantità di dati in un periodo relativamente breve. Il primo elemento dell'array è indicizzato da un pedice pari a 0. In un array sono possibili diverse operazioni, come ricerca, ordinamento, inserimento, attraversamento, inversione ed eliminazione.

Vettore
Caratteristiche di un array:
Un array ha varie caratteristiche che sono le seguenti:
- Gli array utilizzano una struttura dati basata su indice che aiuta a identificare facilmente ciascuno degli elementi in un array utilizzando l'indice.
- Se un utente desidera memorizzare più valori dello stesso tipo di dati, l'array può essere utilizzato in modo efficiente.
- Un array può anche gestire strutture dati complesse memorizzando i dati in un array bidimensionale.
- Un array viene utilizzato anche per implementare altre strutture dati come stack, code, heap, tabelle hash, ecc.
- Il processo di ricerca in un array può essere eseguito molto facilmente.
Operazioni eseguite sull'array:
- Inizializzazione : Un array può essere inizializzato con valori al momento della dichiarazione o successivamente utilizzando un'istruzione di assegnazione.
- Accesso agli elementi: è possibile accedere agli elementi di un array tramite il loro indice, che inizia da 0 e arriva fino alla dimensione dell'array meno uno.
- Ricerca di elementi : È possibile cercare negli array un elemento specifico utilizzando algoritmi di ricerca lineare o di ricerca binaria.
- Ordinamento degli elementi : gli elementi di un array possono essere ordinati in ordine crescente o decrescente utilizzando algoritmi come l'ordinamento a bolle, l'ordinamento per inserzione o l'ordinamento rapido.
- Inserimento di elementi: Gli elementi possono essere inseriti in un array in una posizione specifica, ma questa operazione può richiedere molto tempo perché richiede lo spostamento degli elementi esistenti nell'array.
- Eliminazione di elementi: Gli elementi possono essere eliminati da un array spostando gli elementi che lo seguono per colmare il vuoto.
- Elementi di aggiornamento: Gli elementi di un array possono essere aggiornati o modificati assegnando un nuovo valore a un indice specifico.
- Elementi di attraversamento: Gli elementi di un array possono essere attraversati in ordine, visitando ogni elemento una volta.
Queste sono alcune delle operazioni più comuni eseguite sugli array. Le operazioni specifiche e gli algoritmi utilizzati possono variare in base ai requisiti del problema e al linguaggio di programmazione utilizzato.
Applicazioni dell'array:
Diverse applicazioni di un array sono le seguenti:
- Un array viene utilizzato per risolvere problemi con le matrici.
- Anche i record del database sono implementati da un array.
- Aiuta a implementare un algoritmo di ordinamento.
- Viene anche utilizzato per implementare altre strutture dati come stack, code, heap, tabelle hash, ecc.
- Un array può essere utilizzato per la pianificazione della CPU.
- Può essere applicato come tabella di ricerca nei computer.
- Gli array possono essere utilizzati nell'elaborazione vocale in cui ogni segnale vocale è un array.
- Anche lo schermo del computer viene visualizzato da un array. Qui usiamo un array multidimensionale.
- L'array viene utilizzato in molti sistemi di gestione come biblioteca, studenti, parlamento, ecc.
- L'array viene utilizzato nel sistema di prenotazione dei biglietti online. I contatti su un telefono cellulare vengono visualizzati da questo array.
- In giochi come gli scacchi online, dove il giocatore può memorizzare le sue mosse passate così come quelle attuali. Indica un accenno di posizione.
- Per salvare le immagini in una dimensione specifica nell'Android Come 360*1200
Applicazioni reali dell'array:
- Un array viene spesso utilizzato per memorizzare dati per calcoli matematici.
- Viene utilizzato nell'elaborazione delle immagini.
- Viene utilizzato anche nella gestione dei record.
- Le pagine del libro sono anche esempi reali di un array.
- Viene utilizzato anche per ordinare le scatole.
Vuoi iniziare con gli array? Puoi provare i nostri articoli ed elenchi selezionati per le migliori pratiche:
- Introduzione alla struttura dei dati degli array
- I 50 principali problemi di codifica degli array per le interviste
- Esercitati sul problema dell'array su techcodeview.com
Lista collegata:
Una lista concatenata è una struttura dati lineare in cui gli elementi non sono memorizzati in posizioni di memoria contigue. Gli elementi in un elenco collegato sono collegati utilizzando puntatori come mostrato nell'immagine seguente:
Tipi di elenchi collegati:
- Elenco con collegamento singolo
- Elenco doppiamente collegato
- Elenco collegato circolare
- Elenco concatenato doppiamente circolare

Lista collegata
Caratteristiche di una lista collegata:
Una lista collegata ha varie caratteristiche che sono le seguenti:
- Un elenco collegato utilizza memoria aggiuntiva per archiviare i collegamenti.
- Durante l'inizializzazione della lista concatenata non è necessario conoscere la dimensione degli elementi.
- Gli elenchi collegati vengono utilizzati per implementare stack, code, grafici, ecc.
- Il primo nodo della lista concatenata è chiamato Testa.
- Il puntatore successivo dell'ultimo nodo punta sempre a NULL.
- In un elenco collegato l'inserimento e la cancellazione sono possibili facilmente.
- Ogni nodo dell'elenco collegato è costituito da un puntatore/collegamento che è l'indirizzo del nodo successivo.
- Gli elenchi collegati possono ridursi o crescere facilmente in qualsiasi momento.
Operazioni eseguite sulla lista collegata:
Una lista concatenata è una struttura dati lineare in cui ogni nodo contiene un valore e un riferimento al nodo successivo. Ecco alcune operazioni comuni eseguite sugli elenchi collegati:
- Inizializzazione: Una lista concatenata può essere inizializzata creando un nodo head con un riferimento al primo nodo. Ogni nodo successivo contiene un valore e un riferimento al nodo successivo.
- Inserimento di elementi: Gli elementi possono essere inseriti in testa, in coda o in una posizione specifica nell'elenco collegato.
- Eliminazione di elementi : Gli elementi possono essere eliminati dall'elenco collegato aggiornando il riferimento del nodo precedente in modo che punti al nodo successivo, rimuovendo di fatto il nodo corrente dall'elenco.
- Ricerca di elementi : È possibile ricercare nelle liste concatenate un elemento specifico partendo dal nodo testa e seguendo i riferimenti ai nodi successivi fino a trovare l'elemento desiderato.
- Aggiornamento degli elementi : Gli elementi in un elenco collegato possono essere aggiornati modificando il valore di un nodo specifico.
- Elementi di attraversamento: Gli elementi di una lista concatenata possono essere attraversati partendo dal nodo testa e seguendo i riferimenti ai nodi successivi fino al raggiungimento della fine della lista.
- Inversione di un elenco collegato : L'elenco concatenato può essere invertito aggiornando i riferimenti di ciascun nodo in modo che puntino al nodo precedente anziché al nodo successivo.
Queste sono alcune delle operazioni più comuni eseguite sugli elenchi collegati. Le operazioni specifiche e gli algoritmi utilizzati possono variare in base ai requisiti del problema e al linguaggio di programmazione utilizzato.
Applicazioni della lista collegata:
Diverse applicazioni degli elenchi collegati sono le seguenti:
- Gli elenchi collegati vengono utilizzati per implementare stack, code, grafici, ecc.
- Gli elenchi concatenati vengono utilizzati per eseguire operazioni aritmetiche su numeri interi lunghi.
- Viene utilizzato per la rappresentazione di matrici sparse.
- Viene utilizzato nell'allocazione collegata dei file.
- Aiuta nella gestione della memoria.
- Viene utilizzato nella rappresentazione della manipolazione polinomiale in cui ciascun termine polinomiale rappresenta un nodo nell'elenco collegato.
- Gli elenchi collegati vengono utilizzati per visualizzare i contenitori di immagini. Gli utenti possono visitare le immagini passate, attuali e successive.
- Sono utilizzati per memorizzare la cronologia della pagina visitata.
- Vengono utilizzati per eseguire operazioni di annullamento.
- I link sono utilizzati nello sviluppo di software dove indicano la sintassi corretta di un tag.
- Gli elenchi collegati vengono utilizzati per visualizzare i feed dei social media.
Applicazioni nella vita reale di un elenco collegato:
- Un elenco collegato viene utilizzato nella pianificazione Round-Robin per tenere traccia del turno nelle partite multiplayer.
- Viene utilizzato nel visualizzatore di immagini. Le immagini precedente e successiva sono collegate e quindi è possibile accedervi tramite i pulsanti precedente e successivo.
- In una playlist musicale, i brani sono collegati al brano precedente e a quello successivo.
Vuoi iniziare con un elenco collegato? Puoi provare i nostri articoli ed elenchi selezionati per le migliori pratiche:
- Introduzione alla struttura dei dati degli elenchi collegati
- Le 20 migliori domande di intervista con elenco collegato
- Esercitati sul problema dell'elenco collegato su techcodeview.com
Pila:
Lo stack è una struttura di dati lineare che segue un ordine particolare in cui vengono eseguite le operazioni. L'ordine è LIFO (L'ultimo entrato, primo uscito) . L'immissione e il recupero dei dati è possibile da una sola estremità. L'immissione e il recupero dei dati è anche chiamata operazione push e pop in uno stack. Sono possibili diverse operazioni in uno stack come invertire uno stack utilizzando la ricorsione, l'ordinamento, l'eliminazione dell'elemento centrale di uno stack, ecc.

Pila
Caratteristiche di una pila:
Lo stack ha varie caratteristiche diverse che sono le seguenti:
- Lo stack viene utilizzato in molti algoritmi diversi come la Torre di Hanoi, l'attraversamento degli alberi, la ricorsione, ecc.
- Lo stack viene implementato tramite un array o un elenco collegato.
- Segue l'operazione Last In First Out, ovvero un elemento inserito per primo verrà inserito per ultimo e viceversa.
- L'inserimento e la cancellazione vengono eseguite ad un'estremità, ovvero dall'alto dello stack.
- Nello stack, se lo spazio allocato per lo stack è pieno e qualcuno tenta ancora di aggiungere altri elementi, si verificherà un overflow dello stack.
Applicazioni dello stack:
Diverse applicazioni di Stack sono le seguenti:
- La struttura dei dati dello stack viene utilizzata nella valutazione e nella conversione delle espressioni aritmetiche.
- Viene utilizzato per il controllo delle parentesi.
- Durante l'inversione di una stringa, viene utilizzato anche lo stack.
- Lo stack viene utilizzato nella gestione della memoria.
- Viene utilizzato anche per elaborare le chiamate di funzione.
- Lo stack viene utilizzato per convertire le espressioni da infisse a postfisse.
- Lo stack viene utilizzato per eseguire operazioni di annullamento e ripetizione negli elaboratori di testi.
- Lo stack viene utilizzato in macchine virtuali come JVM.
- Lo stack viene utilizzato nei lettori multimediali. Utile per riprodurre il brano successivo e precedente.
- Lo stack viene utilizzato nelle operazioni di ricorsione.
Operazione eseguita sullo stack;
Uno stack è una struttura di dati lineare che implementa il principio LIFO (Last-In-First-Out). Ecco alcune operazioni comuni eseguite sugli stack:
- Spingere : Gli elementi possono essere spostati in cima alla pila, aggiungendo un nuovo elemento in cima alla pila.
- Pop : L'elemento in cima può essere rimosso dallo stack eseguendo un'operazione pop, rimuovendo di fatto l'ultimo elemento che è stato spinto nello stack.
- Sbirciare: L'elemento superiore può essere ispezionato senza rimuoverlo dallo stack utilizzando un'operazione di visualizzazione.
- È vuoto : È possibile effettuare un controllo per determinare se la pila è vuota.
- Misurare : Il numero di elementi nello stack può essere determinato utilizzando un'operazione di dimensione.
Queste sono alcune delle operazioni più comuni eseguite sugli stack. Le operazioni specifiche e gli algoritmi utilizzati possono variare in base ai requisiti del problema e al linguaggio di programmazione utilizzato. Gli stack vengono comunemente utilizzati in applicazioni quali la valutazione di espressioni, l'implementazione di stack di chiamate di funzioni in programmi per computer e molte altre.
Applicazioni reali dello Stack:
- Un esempio reale di pila è lo strato di piatti disposti uno sopra l'altro. Quando rimuovi un piatto dalla pila, puoi portare il piatto in cima alla pila. Ma questo è esattamente il piatto aggiunto più recentemente alla pila. Se vuoi il piatto in fondo alla pila, devi rimuovere tutti i piatti sopra per raggiungerlo.
- I browser utilizzano strutture di dati in stack per tenere traccia dei siti visitati in precedenza.
- Anche il registro delle chiamate nel cellulare utilizza la struttura dei dati dello stack.
Vuoi iniziare con Stack? Puoi provare i nostri articoli ed elenchi selezionati per le migliori pratiche:
convertendo una stringa fino ad oggi
- Problema di pratica dello stack su techcodeview.com
Coda:
La coda è una struttura di dati lineare che segue un ordine particolare in cui vengono eseguite le operazioni. L'ordine è Primo ad entrare, primo ad uscire (FIFO) cioè si accederà per primo al dato memorizzato per primo. In questo caso, l'immissione e il recupero dei dati non avviene da un'unica estremità. Un esempio di coda è qualsiasi coda di consumatori per una risorsa in cui il consumatore arrivato per primo viene servito per primo. Diverse operazioni vengono eseguite su una coda come invertire una coda (con o senza l'uso della ricorsione), invertire i primi K elementi di una coda, ecc. Alcune operazioni di base eseguite in coda sono accodamento, rimozione dalla coda, anteriore, posteriore, ecc.

Coda
Caratteristiche di una coda:
La coda ha diverse caratteristiche che sono le seguenti:
- La coda è una struttura FIFO (First In First Out).
- Per rimuovere l'ultimo elemento della Coda è necessario rimuovere tutti gli elementi inseriti prima del nuovo elemento nella coda.
- Una coda è un elenco ordinato di elementi con tipi di dati simili.
Applicazioni della coda:
Le diverse applicazioni di Queue sono le seguenti:
- La coda viene utilizzata per gestire il traffico del sito Web.
- Aiuta a mantenere la playlist nei lettori multimediali.
- La coda viene utilizzata nei sistemi operativi per gestire gli interrupt.
- Aiuta a soddisfare le richieste su una singola risorsa condivisa, come una stampante, la pianificazione delle attività della CPU, ecc.
- Viene utilizzato nel trasferimento asincrono di dati, ad es. pipe, file IO e socket.
- Le code vengono utilizzate per la pianificazione dei lavori nel sistema operativo.
- Nei social media per caricare più foto o video viene utilizzata la coda.
- Per inviare un'e-mail viene utilizzata la struttura dei dati della coda.
- Per gestire il traffico del sito Web alla volta vengono utilizzate le code.
- Nel sistema operativo Windows, per cambiare più applicazioni.
Operazione eseguita sulla coda:
Una coda è una struttura di dati lineare che implementa il principio FIFO (First-In-First-Out). Ecco alcune operazioni comuni eseguite sulle code:
- Accodare : Gli elementi possono essere aggiunti in fondo alla coda, aggiungendo un nuovo elemento alla fine della coda.
- Di conseguenza : L'elemento anteriore può essere rimosso dalla coda eseguendo un'operazione di rimozione dalla coda, rimuovendo di fatto il primo elemento aggiunto alla coda.
- Sbirciare : L'elemento frontale può essere ispezionato senza rimuoverlo dalla coda utilizzando un'operazione di visualizzazione.
- È vuoto : È possibile effettuare un controllo per determinare se la coda è vuota.
- Misurare : Il numero di elementi nella coda può essere determinato utilizzando un'operazione di dimensione.
Queste sono alcune delle operazioni più comuni eseguite sulle code. Le operazioni specifiche e gli algoritmi utilizzati possono variare in base ai requisiti del problema e al linguaggio di programmazione utilizzato. Le code vengono comunemente utilizzate in applicazioni come la pianificazione di attività, la gestione della comunicazione tra processi e molte altre.
Applicazioni reali della coda:
- Un esempio reale di coda è una strada a senso unico a corsia unica, dove il veicolo che entra per primo uscirà per primo.
- Un esempio più reale può essere visto in coda alle biglietterie.
- Anche la fila alla cassa di un negozio è un esempio di coda.
- Persone su una scala mobile
Vuoi iniziare con Queue? Puoi provare i nostri articoli ed elenchi selezionati per le migliori pratiche:
- Pratica il problema della coda su techcodeview.com
Albero:
Un albero è una struttura dati non lineare e gerarchica in cui gli elementi sono disposti in una struttura ad albero. In un albero, il nodo più in alto è chiamato nodo radice. Ogni nodo contiene alcuni dati e i dati possono essere di qualsiasi tipo. È costituito da un nodo centrale, nodi strutturali e sottonodi collegati tramite bordi. Diverse strutture dati ad albero consentono un accesso più rapido e semplice ai dati poiché si tratta di una struttura dati non lineare. Un albero ha varie terminologie come Nodo, Radice, Bordo, Altezza di un albero, Grado di un albero, ecc.
Esistono diversi tipi di tipo ad albero
- Albero di ricerca binaria ,
- Albero AVL ,
- B-albero, eccetera.

Albero
Caratteristiche di un albero:
L'albero ha diverse caratteristiche che sono le seguenti:
- Un albero è anche noto come struttura dati ricorsiva.
- In un albero, l'altezza della radice può essere definita come il percorso più lungo dal nodo radice al nodo foglia.
- In un albero si può anche calcolare la profondità dalla cima a qualsiasi nodo. Il nodo radice ha una profondità pari a 0.
Applicazioni dell'albero:
Le diverse applicazioni di Tree sono le seguenti:
- L'heap è una struttura di dati ad albero implementata utilizzando array e utilizzata per implementare code di priorità.
- B-Tree e B+ Tree vengono utilizzati per implementare l'indicizzazione nei database.
- L'albero della sintassi aiuta nella scansione, nell'analisi, nella generazione di codice e nella valutazione delle espressioni aritmetiche nella progettazione del compilatore.
- K-D Tree è un albero di partizionamento dello spazio utilizzato per organizzare punti nello spazio K-dimensionale.
- Gli spanning tree vengono utilizzati nei router nelle reti di computer.
Operazione eseguita sull'albero:
Un albero è una struttura dati non lineare costituita da nodi collegati da bordi. Ecco alcune operazioni comuni eseguite sugli alberi:
- Inserimento : È possibile aggiungere nuovi nodi all'albero per creare un nuovo ramo o per aumentare l'altezza dell'albero.
- Cancellazione : I nodi possono essere rimossi dall'albero aggiornando i riferimenti del nodo genitore per rimuovere il riferimento al nodo corrente.
- Ricerca : Gli elementi possono essere ricercati in un albero partendo dal nodo radice e attraversando l'albero in base al valore del nodo corrente fino a trovare il nodo desiderato.
- Traversata : Gli elementi in un albero possono essere attraversati in diversi modi, incluso l'attraversamento in ordine, preordine e postordine.
- Altezza : L'altezza dell'albero può essere determinata contando il numero di bordi dal nodo radice al nodo foglia più lontano.
- Profondità : La profondità di un nodo può essere determinata contando il numero di bordi dal nodo radice al nodo corrente.
- Bilanciamento : L'albero può essere bilanciato per garantire che l'altezza dell'albero sia ridotta al minimo e che la distribuzione dei nodi sia quanto più uniforme possibile.
Queste sono alcune delle operazioni più comuni eseguite sugli alberi. Le operazioni specifiche e gli algoritmi utilizzati possono variare in base ai requisiti del problema e al linguaggio di programmazione utilizzato. Gli alberi sono comunemente utilizzati in applicazioni quali la ricerca, l'ordinamento e l'archiviazione di dati gerarchici.
Applicazioni dell'albero nella vita reale:
- Nella vita reale, la struttura dei dati ad albero aiuta nello sviluppo del gioco.
- Aiuta anche nell'indicizzazione nei database.
- Un albero decisionale è un efficiente strumento di apprendimento automatico, comunemente utilizzato nell'analisi decisionale. Ha una struttura simile a un diagramma di flusso che aiuta a comprendere i dati.
- Anche Domain Name Server utilizza una struttura dati ad albero.
- Il caso d'uso più comune di un albero è qualsiasi sito di social network.
Vuoi iniziare con Tree? Puoi provare i nostri articoli ed elenchi selezionati per le migliori pratiche:
- Le 50 principali domande per l'intervista sull'albero
- Problema dell'albero pratico su techcodeview.com
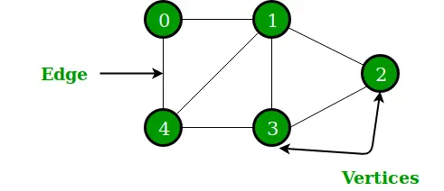
Grafico:
Un grafico è una struttura dati non lineare composta da vertici (o nodi) e bordi. Consiste in un insieme finito di vertici e un insieme di bordi che collegano una coppia di nodi. Il grafico viene utilizzato per risolvere i problemi di programmazione più impegnativi e complessi. Ha diverse terminologie che sono Percorso, Grado, Vertici adiacenti, Componenti connessi, ecc.

Grafico
Caratteristiche del grafico:
Il grafico ha diverse caratteristiche che sono le seguenti:
- La distanza massima da un vertice a tutti gli altri vertici è considerata l'eccentricità di quel vertice.
- Il vertice con Eccentricità minima è considerato il punto centrale del grafico.
- Il valore minimo di Eccentricità da tutti i vertici è considerato il raggio di un grafico connesso.
Applicazioni del grafico:
Le diverse applicazioni dei grafici sono le seguenti:
- Il grafico viene utilizzato per rappresentare il flusso di calcolo.
- Viene utilizzato nella modellazione dei grafici.
- Il sistema operativo utilizza il grafico di allocazione delle risorse.
- Utilizzato anche nel World Wide Web dove le pagine web rappresentano i nodi.
Operazione eseguita sul Grafico:
Un grafico è una struttura dati non lineare costituita da nodi e spigoli. Ecco alcune operazioni comuni eseguite sui grafici:
- Aggiungi vertice: Nuovi vertici possono essere aggiunti al grafico per rappresentare un nuovo nodo.
- Aggiungi bordo: È possibile aggiungere bordi tra i vertici per rappresentare una relazione tra i nodi.
- Rimuovi vertice : I vertici possono essere rimossi dal grafico aggiornando i riferimenti dei vertici adiacenti per rimuovere il riferimento al vertice corrente.
- Rimuovi bordo : I bordi possono essere rimossi aggiornando i riferimenti dei vertici adiacenti per rimuovere il riferimento al bordo corrente.
- Ricerca in profondità (DFS) : Un grafico può essere attraversato utilizzando una ricerca in profondità visitando i vertici in modo approfondito.
- B Ricerca in lettura prima (BFS): Un grafo può essere attraversato utilizzando una ricerca in ampiezza visitando i vertici in ampiezza.
- Percorso più breve: Il percorso più breve tra due vertici può essere determinato utilizzando algoritmi come l'algoritmo di Dijkstra o l'algoritmo A*.
- Componenti connessi : I componenti connessi di un grafico possono essere determinati trovando insiemi di vertici collegati tra loro ma non ad altri vertici nel grafico.
- Rilevamento del ciclo : I cicli in un grafico possono essere rilevati controllando i bordi posteriori durante una ricerca in profondità.
Queste sono alcune delle operazioni più comuni eseguite sui grafici. Le operazioni specifiche e gli algoritmi utilizzati possono variare in base ai requisiti del problema e al linguaggio di programmazione utilizzato. I grafici sono comunemente utilizzati in applicazioni quali reti di computer, social network e problemi di routing.
Applicazioni del grafico nella vita reale:
- Uno degli esempi reali più comuni di grafico è Google Maps in cui le città sono posizionate come vertici e i percorsi che collegano tali vertici sono posizionati come bordi del grafico.
- Un social network è anche un esempio reale di grafico in cui ogni persona sulla rete è un nodo e tutte le sue amicizie sulla rete sono i bordi del grafico.
- Un grafico viene utilizzato anche per studiare le molecole in fisica e chimica.
Vuoi iniziare con Graph? Puoi provare i nostri articoli ed elenchi selezionati per le migliori pratiche:
codice di esempio c#
- Introduzione alla struttura dei dati del grafico
- Le 50 migliori domande per l'intervista sui grafici
- Problema pratico con il grafico su techcodeview.com
Vantaggi della struttura dei dati:
- Miglioramento dell'organizzazione dei dati e dell'efficienza di archiviazione.
- Recupero e manipolazione dei dati più rapidi.
- Facilita la progettazione di algoritmi per la risoluzione di problemi complessi.
- Facilita il compito di aggiornare e mantenere i dati.
- Fornisce una migliore comprensione delle relazioni tra gli elementi dei dati.
Svantaggio della struttura dei dati:
- Aumento del sovraccarico computazionale e di memoria.
- Difficoltà nel progettare e implementare strutture dati complesse.
- Scalabilità e flessibilità limitate.
- Complessità nel debug e nei test.
- Difficoltà nel modificare strutture dati esistenti.
Riferimento:
Le strutture dati possono essere trovate in vari libri di testo di informatica e risorse online. Alcuni testi popolari includono:
- Introduzione agli algoritmi di Thomas H. Cormen, Charles E. Leiserson, Ronald L. Rivest e Clifford Stein.
- Strutture dati e analisi degli algoritmi in Java di Mark Allen Weiss.
- Il manuale di progettazione degli algoritmi di Steven S. Skiena.
- Risorse online come Coursera, Udemy e Khan Academy offrono anche corsi su strutture dati e algoritmi.
Conclusione
Sebbene queste siano le strutture dati più conosciute e utilizzate, esistono anche altre forme di strutture dati utilizzate in informatica, come ad esempio strutture di dati basate su politiche , ecc. Ma indipendentemente dalla struttura dati scelta, ognuna ha i suoi vantaggi e svantaggi, senza la cui conoscenza può essere molto costoso scegliere il tipo sbagliato di struttura dati. Quindi è molto importante comprendere le necessità della situazione e quindi decidere quale tipo di struttura dati si adatta meglio al lavoro.